Вернуться к содержанию учебника
№4.310 учебника 2023-2026 (стр. 58):
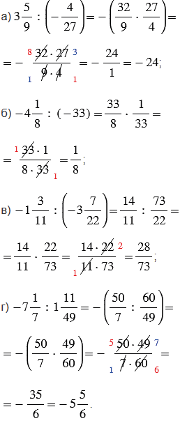
Выполните деление:

№4.310 учебника 2023-2026 (стр. 58):
Вспомните:
№4.310 учебника 2023-2026 (стр. 58):
Пояснения:
Чтобы найти частное двух чисел с разными знаками, надо разделить модуль делимого на модуль делителя и поставить перед полученным числом знак "-".
Чтобы найти частное двух отрицательных чисел, надо разделить модуль делимого на модуль делителя.
Правила вычислений с обыкновенными дробями и смешанными числами смотри в подсказке.
Вернуться к содержанию учебника