Вернуться к содержанию учебника
№4.311 учебника 2023-2026 (стр. 58):
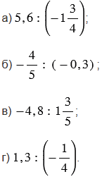
Вычислите:

№4.311 учебника 2023-2026 (стр. 58):
Вспомните:
№4.311 учебника 2023-2026 (стр. 58):

| - | 1 | 3 | 0 | 2 | 5 | ||||||||||
| 1 | 2 | 5 | 5 | , | 2 | ||||||||||
| - | 5 | 0 | |||||||||||||
| 5 | 0 | ||||||||||||||
| 0 |
Пояснения:
Чтобы найти частное двух чисел с разными знаками, надо разделить модуль делимого на модуль делителя и поставить перед полученным числом знак "-".
Чтобы найти частное двух отрицательных чисел, надо разделить модуль делимого на модуль делителя.
Правила вычислений с дробями смотрите в подсказке.
Вернуться к содержанию учебника