Вернуться к содержанию учебника
№4.180 учебника 2023-2026 (стр. 39):
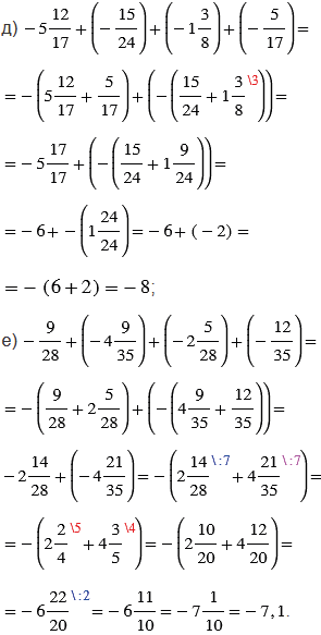
Выполните сложение:

№4.180 учебника 2023-2026 (стр. 39):
Вспомните:
№4.180 учебника 2023-2026 (стр. 39):


Пояснения:
Чтобы сложить два отрицательных числа, надо:
1) сложить их модули; 2) поставить перед полученным числом знак " - ".
Модуль числа принимает только неотрицательные значения, поэтому модуль отрицательного числа равен противоположному числу (противоположные числа отличаются только знаками).
В пунктах д) и е), чтобы упростить вычисления, используем переместительное и сочетательное свойства сложения (группируем слагаемые с одинаковыми знаменателями или с такими знаменателями, которые проще привести к общему знаменателю).
Правила, по которым выполнены вычисления с дробями, смотрите в подсказке.
Вернуться к содержанию учебника