Вернуться к содержанию учебника
№4.184 учебника 2023-2024 (стр. 39):
1) Сравните, если
и
- положительные числа.

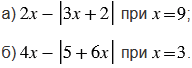
2) Найдите значение выражения:

№4.184 учебника 2023-2024 (стр. 39):
Вспомните:
№4.184 учебника 2023-2024 (стр. 39):


Пояснения:
1) При сравнении чисел учитываем то, что если
и
- положительные числа, то
и
- отрицательные числа. Также помним то, что любое положительное число больше любого отрицательного числа и любое положительное число больше нуля, а любое отрицательное число меньше нуля. Модуль числа принимает только неотрицательные значения.
2) Чтобы найти значение буквенного выражения, нужно в это выражение вместо букв подставить числа, им соответствующие и выполнить вычисления.
Обратите внимание, в этом задании скорее всего допущена опечатка, так как вы еще не умеете складывать числа с разными знаками и не знаете вычитание положительных и отрицательных чисел. С этими правилами вы познакомитесь в следующих темах.
Вернуться к содержанию учебника