Вернуться к содержанию учебника
№5.471 учебника 2023-2026 (стр. 76):
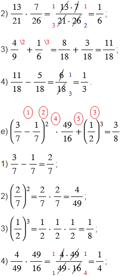
Выполните действия:

№5.471 учебника 2023-2026 (стр. 76):
Вспомните:
№5.471 учебника 2023-2026 (стр. 76):




Пояснения:
Действиями первой ступени называют сложение и вычитание чисел, а действиями второй ступени - умножение и деление чисел.
При вычислении значений выражений порядок выполнения действий определяют следующие правила:
1. Если выражение содержит только действия одной ступени и в нем нет скобок, то действия выполняют по порядку слева направо.
2. Если в выражении нет скобок, то сначала выполняют действия второй ступени, потом - действия первой ступени.
3. Если в выражении есть скобки, то сначала выполняют действия в скобках (учитывая правила 1 и 2).
Возведение числа в степень - это пятое арифметическое действие, поэтому стоит учитывать, что: если в числовое выражение входит степень, то сначала выполняют возведение в степень, а потом - остальные действия, в соответствии с порядком их выполнения.
Красные числа, стоящие сверху над действиями в кружочках, показывают в каком порядке нужно выполнять действия.
Все правила, по которым выполнены вычисления можно посмотреть в подсказке.
Вернуться к содержанию учебника