Вернуться к содержанию учебника
№5.473 учебника 2023-2026 (стр. 76):
Используя формулу объема прямоугольного параллелепипеда
, найдите значение
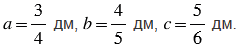
при 
№5.473 учебника 2023-2026 (стр. 76):
Вспомните:
№5.473 учебника 2023-2026 (стр. 76):

Пояснения:
Чтобы найти значение переменной по формуле, нужно в эту формулу вместо других переменных подставить числа, им соответствующие, и выполнить вычисления.
Чтобы найти произведение двух дробей, можно:
1) перемножить их числители и перемножить их знаменатели;
2) первое произведение записать числителем, а второе - знаменателем дроби.
Чтобы вычисления были проще, не надо перемножать сразу числители и знаменатели, лучше сделать это после сокращения их на общие множители.
Вернуться к содержанию учебника