Вернуться к содержанию учебника
№5.419 учебника 2023-2024 (стр. 69):
№5.419 учебника 2021-2022 (стр. 69):
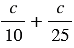
Найдите сумму
при
= 1;
= 3;
= 7;
= 9.
№5.419 учебника 2023-2024 (стр. 69):
№5.419 учебника 2021-2022 (стр. 69):
Вспомните:
№5.419 учебника 2023-2024 (стр. 69):
№5.419 учебника 2021-2022 (стр. 69):

Пояснения:
Чтобы найти значение буквенного выражения пр заданном числовом значении буквы, нужно в это выражение вместо буквы подставить соответствующее ей число и выполнить вычисления.
Чтобы найти сумму двух дробей с разными знаменателями, нужно сначала привести дроби к наименьшему общему знаменателю (наименьшему общему кратному знаменателей дробей), а затем сложить числители полученных дробей, а знаменатель оставить прежним (в решении дополнительные множители к дробям для приведения к наименьшему общему знаменателю выделены красным цветом).
В пункте г) при вычислениях получилась неправильная дробь (числитель больше знаменателя), ее преобразовали в смешанное число. Для этого числитель дроби разделили на ее знаменатель с остатком; полученное неполное частное записали как целую часть смешанного числа, а остаток - как числитель его дробной части.
Вернуться к содержанию учебника