Вернуться к содержанию учебника
№5.418 учебника 2023-2026 (стр. 69):
№5.418 учебника 2021-2022 (стр. 69):
1) Вычислите, используя свойство вычитания числа из суммы:

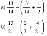
2) Вычислите, используя свойство вычитания суммы из числа:

№5.418 учебника 2023-2026 (стр. 69):
№5.418 учебника 2021-2022 (стр. 69):
Вспомните:
№5.418 учебника 2023-2026 (стр. 69):
№5.418 учебника 2021-2022 (стр. 69):

Пояснения:
1) Чтобы вычесть натуральное число из суммы натуральных чисел, можно вычесть данное натуральное число из любого слагаемого и к полученной разности прибавить оставшееся слагаемое.
2) Чтобы вычесть сумму чисел из натурального числа, можно вычесть из данного числа любое из слагаемых и из полученной разности вычесть второе слагаемое.
При выполнении вычислений помним следующие правила:
1) чтобы найти сумму двух дробей с одинаковыми знаменателями, нужно сложить их числители, а знаменатель оставить прежним;
2) чтобы найти разность двух дробей с одинаковыми знаменателями, нужно из числителя уменьшаемого вычесть числитель вычитаемого, а знаменатель оставить прежним;
3) чтобы найти сумму иди разность двух дробей с разными знаменателями, нужно сначала привести дроби к наименьшему общему знаменателю (наименьшему общему кратному знаменателей дробей), а затем выполнить сложение или вычитание дробей с одинаковыми знаменателями (в решении дополнительные множители к дробям для приведения к наименьшему общему знаменателю выделены красным цветом).
Также, если при вычислениях получилась сократимая дробь, ее можно сократить, разделив числитель и знаменатель этой дроби на одно и то же число (в решении число, на которое сокращаем дробь, выделено синим цветом).
Вернуться к содержанию учебника