Вернуться к содержанию учебника
Выберите год учебника
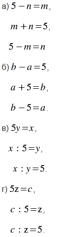
№5.326 учебника 2023-2026 (стр. 56):
Запишите в виде равенства тремя различными способами:
а) 5 на
больше, чем
;
б) 5 на
меньше, чем
;
в)
в 5 раз больше, чем
;
г)
в 5 раз меньше, чем
.
№5.326 учебника 2021-2022 (стр. 56):
Вычислите:
а) 28 350 : 225 • 45 - 1673;
б) (4976 + 1524) • 4 - 3568.
№5.326 учебника 2023-2026 (стр. 56):

№5.326 учебника 2021-2022 (стр. 56):

|
|
|||||||||||||||||||||||||||||||||||||||||||||||||||||||||||||||||||||||||||||||||||||||||||||||||||||||||||||
|
||||||||||||||||||||||||||||||||||||||||||||||||||||||||||||||||||||||||||||||||||||||||||||||||||||||||||||||

|
|
|
Пояснения:
Действиями первой ступени называют сложение и вычитание чисел, а действиями второй ступени - умножение и деление чисел.
При вычислении значений выражений порядок выполнения действий определяют следующие правила:
1. Если выражение содержит только действия одной ступени и в нем нет скобок, то действия выполняют по порядку слева направо.
2. Если в выражении нет скобок, то сначала выполняют действия второй ступени, потом - действия первой ступени.
3. Если в выражении есть скобки, то сначала выполняют действия в скобках (учитывая правила 1 и 2).
Красные числа, стоящие сверху над действиями, показывают в каком порядке нужно выполнять действия.
Вернуться к содержанию учебника