Вернуться к содержанию учебника
Проверьте себя. Страница 106
№Проверочная работа учебника 2023-2026 (стр. 106):
1. Являются ли взаимно обратными числа:

2. Найдите
, если:

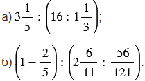
3. Выполните действия:

4. Найдите периметр прямоугольной комнаты, площадь которой равна
м2, а длина -
м.
№Проверочная работа учебника 2023-2026 (стр. 106):
Вспомните:
№Проверочная работа учебника 2023-2026 (стр. 106):





Пояснения:
Взаимно обратными называют два числа, произведение которых равно единице.
Получается, чтобы проверить взаимно обратные числа или нет, нужно найти их произведение.
Помним:
является число
.
- натуральное число, то обратным ему является число
.Чтобы найти неизвестный множитель, нужно произведение разделить на известный множитель.
Площадь прямоугольника равна произведению его длины и ширины, следовательно, чтобы найти ширину прямоугольника, нужно его площадь разделить на длину.
Периметр прямоугольника равен удвоенной сумме его длины и ширины.
Правила, по которым выполнены вычисления:
1) произведением двух дробей является дробь, числитель которой равен произведению числителей, а знаменатель - произведению знаменателей;
2) чтобы выполнить умножение смешанных чисел, нужно записать эти числа в виде неправильных дробей, а затем воспользоваться правилом умножения дробей;
3) чтобы найти частное двух дробей, надо делимое умножить на число, обратное делителю;
4) чтобы выполнить деление смешанных чисел, нужно записать эти числа в виде неправильных дробей, а затем воспользоваться правилом деления дробей;
5) чтобы из единицы вычесть дробь, нужно представить единицу в виде неправильной дроби с одинаковыми числителем и знаменателем, равными знаменателю вычитаемой дроби, и выполнить вычитание дробей с одинаковыми знаменателями;
6) чтобы найти разность двух дробей с одинаковыми знаменателями, нужно вычесть их числители, а знаменатель оставить прежним;
7) чтобы найти сумму смешанных чисел, надо отдельно выполнить сложение целых и отдельно дробных частей.
Чтобы преобразовать смешанное число в неправильную дробь, надо целую часть числа умножить на знаменатель дробной части и к полученному произведению прибавить числитель дробной части; эту сумму записать как числитель неправильной дроби, а в ее знаменатель записать знаменатель дробной части смешанного числа.
При выполнении умножения дробей, чтобы вычисления были проще, не надо перемножать сразу, лучше сделать это после сокращения. Сократить дробь - значит, разделить ее числитель и знаменатель на одно и то же число (наибольший общий делитель).
Если при вычислениях получилась неправильная дробь (числитель больше знаменателя), ее нужно преобразовать в смешанное число. Чтобы неправильную дробь, числитель которой нацело не делится на знаменатель, преобразовать в смешанное число, надо числитель разделить на знаменатель; полученное неполное частное записать как целую часть смешанного числа, а остаток - как числитель его дробной части.
Также помним, неправильная дробь, у которой в знаменателе стоит единица, равна своему числителю.
Вернуться к содержанию учебника