Задание 2.342 - ГДЗ Математика 6 класс. Виленкин, Жохов. Учебник часть 1

Старая и новая редакции

Вернуться к содержанию учебника

2.339 2.340 2.341 2.342 2.343 2.344 2.345

Вопрос

Выберите год учебника

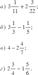
№2.342 учебника 2023-2026 (стр. 90):

Выполните действия:


№2.342 учебника 2021-2022 (стр. 85):

В бензобаке было 42,5 л бензина. По дороге в деревню было израсходовано 0,3 бензина. Сколько литров бензина осталось?

Подсказка

№2.342 учебника 2023-2026 (стр. 90):

Вспомните:

  1. Сложение и вычитание дробей с разными знаменателями.
  2. Приведение дробей к общему знаменателю.
  3. Сложение и вычитание дробей с одинаковыми знаменателями.
  4. Смешанные числа, действия с ними.
  5. Неправильные дроби.
  6. Основное свойство дроби.

№2.342 учебника 2021-2022 (стр. 85):

Вспомните:

  1. Оформление задач.
  2. Как найти часть от числа.
  3. Умножение десятичных дробей.
  4. Вычитание десятичных дробей.

Ответ

№2.342 учебника 2023-2026 (стр. 90):


Пояснения:

Правила, по которым выполнены вычисления:

1) чтобы найти сумму двух дробей с одинаковыми знаменателями, нужно сложить их числители, а знаменатель оставить прежним;

2) чтобы найти разность двух дробей с одинаковыми знаменателями, нужно из числителя уменьшаемого вычесть числитель вычитаемого, а знаменатель оставить прежним;

3) чтобы сложить (вычесть) две дроби с разными знаменателями, надо: привести данные дроби к общему знаменателю (наименьшее общее кратное знаменателей вычитаемых дробей), используя основное свойство дроби, а затем применить правило сложения (вычитания) дробей с одинаковыми знаменателями;

4) чтобы найти сумму смешанных чисел, надо: дробные части этих чисел привести к наименьшему общему знаменателю; отдельно выполнить сложение целых и отдельно дробных частей; при необходимости сократить дробь (разделить числитель и знаменатель дроби на их наибольший общий делитель), выделить целую часть (когда числитель больше знаменателя) и прибавить ее к полученной целой части;

5) чтобы найти разность смешанных чисел, надо: дробные части этих чисел привести к наименьшему общему знаменателю; если дробная часть уменьшаемого больше дробной части вычитаемого, то надо отдельно вычесть целые и отдельно дробные части и результаты сложить; если дробная часть уменьшаемого меньше дробной части вычитаемого, то надо превратить ее в неправильную дробь, уменьшив на единицу целую часть, и отдельно вычесть целые и отдельно дробные части и результаты сложить; при необходимости сократить дробь (разделить числитель и знаменатель дроби на их наибольший общий делитель).


№2.342 учебника 2021-2022 (стр. 85):

1) 42,5 • 0,3 = 12,75 (л) - израсходовали.

× 4 2 5
  0 3
1 2 7 5

2) 42,5 - 12,75 = 29,75 (л)

       
- 4 2 , 5 0
1 2 , 7 5
  2 9 , 7 5

Ответ: 29,75 л бензина осталось.


Пояснения:

Чтобы найти дробь от числа (десятичную или обыкновенную), нужно умножить число на эту дробь.

В бензобаке было 42,5 л бензина. По дороге в деревню было израсходовано 0,3 бензина, значит, израсходовали:

42,5 • 0,3 = 12,75 (л).

Чтобы перемножить две десятичные дроби, надо: записать дроби в столбик, как  два натуральных числа не обращая внимание на запятые, затем умножить их как натуральные числа, не обращая внимание на запятые и в полученном произведении отделить запятой справа столько цифр, сколько их стоит после запятых в обоих множителях вместе.

Итак, в бензобаке было 42,5 л бензина израсходовали 12,75 л, значит, в бензобаке осталось:

42,5 - 12,75 = 29,75 (л).

Чтобы сложить или вычесть десятичные дроби, нужно записать числа столбиком так, чтобы запятая стояла под запятой. Затем выполнить действие не обращая внимание на запятую, а в ответе поставить запятую под запятой.


Вернуться к содержанию учебника