Вернуться к содержанию учебника
Выберите год учебника
№2.82 учебника 2023-2026 (стр. 53):
Числа 0,7; 0,29; 0,2 представьте в виде обыкновенной дроби, а числа
- в виде десятичной дроби.
№2.82 учебника 2021-2022 (стр. 47):
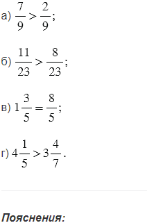
Сравните числа:

№2.82 учебника 2023-2026 (стр. 53):
№2.82 учебника 2021-2022 (стр. 47):
Вспомните:
№2.82 учебника 2023-2026 (стр. 53):


№2.82 учебника 2021-2022 (стр. 47):

Из двух дробей с одинаковыми знаменателями больше та, у которой числитель больше, и меньше та, у которой числитель меньше.
Из двух смешанных чисел с разными целыми частями, больше то число, у которого больше целая часть.
Чтобы преобразовать смешанное число в неправильную дробь, надо целую часть числа умножить на знаменатель дробной части и к полученному произведению прибавить числитель дробной части; эту сумму записать как числитель неправильной дроби, а в ее знаменатель записать знаменатель дробной части смешанного числа.
Вернуться к содержанию учебника