Задание 3.162 - ГДЗ Математика 6 класс. Виленкин, Жохов. Учебник часть 1. Страница 150

Старая и новая редакции

Вернуться к содержанию учебника

3.159 3.160 3.161 3.162 3.163 3.164 3.165

Вопрос

№3.162 учебника 2023-2024 (стр. 150):

№3.162 учебника 2021-2022 (стр. 150):

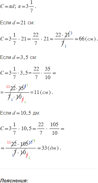
Найдите длину окружности, если её диаметр равен 21 см; 3,5 см; 10,5 дм. Число считайте равным

Подсказка

№3.162 учебника 2023-2024 (стр. 150):

№3.162 учебника 2021-2022 (стр. 150):

Ответ

№3.162 учебника 2023-2024 (стр. 150):

№3.162 учебника 2021-2022 (стр. 150):


Вернуться к содержанию учебника