Вернуться к содержанию учебника
Выберите год учебника
№2.217 учебника 2023-2026 (стр. 74):
От рулона полиэтиленовой пленки длиной 40 м отрезали кусок длиной
м. Сколько метров пленки осталось в рулоне?
№2.217 учебника 2021-2022 (стр. 68):
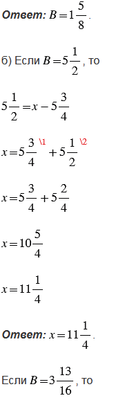
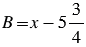
По формуле
найдите значение:

№2.217 учебника 2023-2026 (стр. 74):
Вспомните:
№2.217 учебника 2021-2022 (стр. 68):
Вспомните:
№2.217 учебника 2023-2026 (стр. 74):

№2.217 учебника 2021-2022 (стр. 68):




Корнем уравнения называют значение буквы, при котором уравнение становится верным числовым равенством.
Решить уравнение - значит найти все его корни (или убедиться, что это уравнение не имеет корня).
Чтобы найти неизвестное уменьшаемое, нужно к разности прибавить вычитаемое.
Чтобы найти сумму смешанных чисел, надо:
1) дробные части этих чисел привести к наименьшему общему знаменателю;
2) отдельно выполнить сложение целых и отдельно дробных частей;
3) при необходимости сократить дробь (разделить числитель и знаменатель дроби на их наибольший общий делитель), выделить целую часть (когда числитель больше знаменателя) и прибавить ее к полученной целой части.
Чтобы найти разность смешанных чисел, надо:
1) дробные части этих чисел привести к наименьшему общему знаменателю;
2) если дробная часть уменьшаемого больше дробной части вычитаемого, то надо отдельно вычесть целые и отдельно дробные части и результаты сложить;
3) если дробная часть уменьшаемого меньше дробной части вычитаемого, то надо превратить ее в неправильную дробь, уменьшив на единицу целую часть, и выполнить вычитание по пункту 2;
4) при необходимости сократить дробь (разделить числитель и знаменатель дроби на их наибольший общий делитель).
Вернуться к содержанию учебника