Вернуться к содержанию рабочей тетради
1. 1) Объясни, как можно разделить число на произведение тремя разными способами, и закончи вычисления.

2) Вычисли удобным способом.

Решение
1)

1. Чтобы разделить какое-нибудь число на произведение, можно сначала вычислить значение произведения (выполнить умножение), а затем разделить число на полученный результат.
2. Чтобы разделить какое-нибудь число на произведение, можно разделить это число на первый множитель, а полученное частное разделить на второй множитель.
3. Так как от перестановки множителей произведение не меняется, то можно делить число на множители в любом порядке.
2)

Пояснение
2) 1. Чтобы разделить какое-нибудь число на произведение, можно сначала вычислить значение произведения (выполнить умножение), а затем разделить число на полученный результат.
2. Чтобы разделить какое-нибудь число на произведение, можно разделить это число на первый множитель, а полученное частное разделить на второй множитель.
3. Чтобы разделить какое-нибудь число на произведение, можно разделить это число на первый множитель, а полученное частное разделить на второй множитель.
2. Фермер собрал 160 кг вишни. Из них 64 кг вишни разложили в ящики, а остальную вишню разложили в корзины, по 12 кг в каждую. Сколько корзин заняли вишней?
Решение
1) 160 - 64 = 96 (кг) - в корзинах.
| • | |||
| - | 1 | 6 | 0 |
| 6 | 4 | ||
| 9 | 6 |
2) 96 : 12 = 8 (к.)
Ответ: 8 корзин заняли вишней.
Пояснение

Сколько килограммов вишни в корзинах?
1) 160 - 64 = 96 (кг)
Сколько корзин заняли вишней?
2) 96 : 12 = 8 (к.)
Фермер собрал 160 кг вишни, из них 64 кг вишни разложили в ящики, а остальную вишню - в корзины. Вычислим, сколько килограммов вишни разложили в корзины:
1) 160 - 64 = 96 (кг)
В корзины разложили 96 кг вишни, по 12 кг в каждую. Узнаем, сколько корзин заняли вишней:
2) 96 : 12 = 8 (к.)
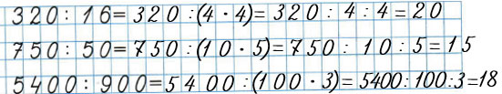
3. Выполни деление, заменяя делитель произведением.

Повтори свойства деления.
Вернуться к содержанию рабочей тетради