Вернуться к содержанию учебника
Выберите год учебника
№557 учебника 2023-2026 (стр. 126):
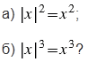
Верно ли при любом значении
равенство:

№557 учебника 2013-2022 (стр. 125):
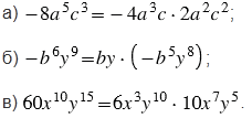
Представьте данный одночлен в виде произведения каких-нибудь двух одночленов стандартного вида:

№557 учебника 2023-2026 (стр. 126):
Вспомните:
№557 учебника 2013-2022 (стр. 125):
Вспомните:
Вернуться к содержанию учебника