Вернуться к содержанию учебника
Выберите год учебника
№556 учебника 2023-2026 (стр. 126):
Объем шара вычисляется по формуле
, где
- радиус шара. Как изменится объем шара, если радиус увеличить в 2 раза; в 4 раза?
№556 учебника 2013-2022 (стр. 125):
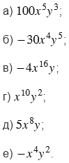
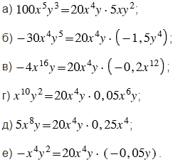
Представьте выражение в виде произведения двух одночленов стандартного вида, один из которых равен
:

№556 учебника 2023-2026 (стр. 126):
Вспомните:
№556 учебника 2013-2022 (стр. 125):
Вспомните:
Вернуться к содержанию учебника