Вернуться к содержанию учебника
Выберите год учебника
№458 учебника 2023-2026 (стр. 108):
Представьте число 220 в виде степени с основанием:
а) 22;
б) 24;
в) 25;
г) 210.
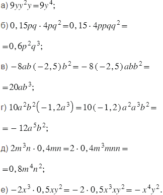
№458 учебника 2013-2022 (стр. 109):
Приведите одночлен к стандартному виду:

№458 учебника 2023-2026 (стр. 108):
Вспомните:
№458 учебника 2013-2022 (стр. 109):
Вспомните:
№458 учебника 2023-2026 (стр. 108):
а) 220 = 22 • 10 = (22)10;
б) 220 = 24 • 5 = (24)5;
в) 220 = 25 • 4 = (25)4;
г) 220 = 210 • 2 = (210)2.
Пояснения:
При возведении степени в степень основание оставляют тем же, а показатели перемножают.
№458 учебника 2013-2022 (стр. 109):

Пояснения:
Одночлены - это выражения, представляющие собой произведение чисел, переменных и их степеней. Одночленами также считают числа, переменные и их степени. Если одночлен представлен в виде произведения числового множителя, который стоит на первом месте, и степеней с различными основаниями, то его называют одночленом стандартного вида.
Правила, по которым выполнены вычисления, смотри в подсказке.
Вернуться к содержанию учебника