Вернуться к содержанию учебника
Выберите год учебника
№431 учебника 2023-2026 (стр. 104):
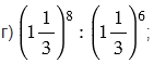
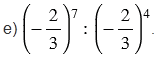
Найдите значение выражения:
а) 56 : 54;
б) 1015 :1012;
в) 0,510 : 0,57;

д) 2,7313 : 2,7312;

№431 учебника 2013-2022 (стр. 105):
Докажите, что:
а) квадраты противоположных чисел равны;
б) кубы противоположных чисел противоположны.
№431 учебника 2023-2026 (стр. 104):
Вспомните:
№431 учебника 2013-2022 (стр. 105):
Вспомните:
№431 учебника 2023-2026 (стр. 104):

№431 учебника 2013-2022 (стр. 105):

Пояснения:
При доказательстве помним:
Вернуться к содержанию учебника