Вернуться к содержанию учебника
Выберите год учебника
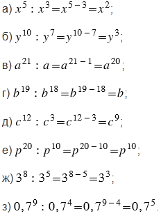
№429 учебника 2023-2026 (стр. 104):
Представьте в виде степени частное:

№429 учебника 2013-2022 (стр. 105):
Возведите в степень:

№429 учебника 2023-2026 (стр. 104):
Вспомните:
№429 учебника 2013-2022 (стр. 105):
Вспомните:
Вернуться к содержанию учебника