Вернуться к содержанию учебника
№320 учебника 2023-2026 (стр. 79):
№320 учебника 2013-2022 (стр. 80):
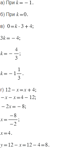
(Задача-исследование.) Дана линейная функция
При каком значении
график этой функции:
а) параллелен графику прямой пропорциональности 
б) не пересекает ось абсцисс;
в) пересекает ось абсцисс в точке с абсциссой 3;
г) проходит через точку пересечения графиков функций
и 
Обсудите ответы на поставленные вопросы.
№320 учебника 2023-2026 (стр. 79):
№320 учебника 2013-2022 (стр. 80):
Вспомните:
Вернуться к содержанию учебника