Вернуться к содержанию учебника
Выберите год учебника
№113 учебника 2023-2026 (стр. 30):
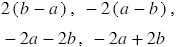
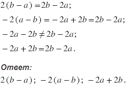
Среди выражений

найдите те, которые тождественно равны выражению 
№113 учебника 2013-2022 (стр. 27):
Является ли корнем уравнения \(x(x-5)=6\) число:
а) 1; б) -1; в) 6; г) -6
№113 учебника 2023-2026 (стр. 30):
Вспомните:
№113 учебника 2013-2022 (стр. 27):
Вспомните:
№113 учебника 2023-2026 (стр. 30):

Пояснения:
Два выражения, значения которых равны при любых значениях переменных, называют тождественно равными.
№113 учебника 2013-2022 (стр. 27):

Пояснения:
Корнем уравнения с одной переменной называется такое значение переменной, при котором уравнение обращается в верное числовое равенство
Вернуться к содержанию учебника