Вернуться к содержанию учебника
Выберите год учебника
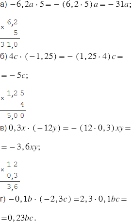
№109 учебника 2023-2026 (стр. 29):
Упростите выражение, используя переместительное и сочетательное свойства умножения:

№109 учебника 2013-2022 (стр. 25):
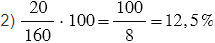
Техническое перевооружение цеха позволило выпускать в сутки 180 станков вместо 160. На сколько процентов повысился выпуск станков в сутки?
№109 учебника 2023-2026 (стр. 29):
Вспомните:
№109 учебника 2013-2022 (стр. 25):
Вспомните:
№109 учебника 2023-2026 (стр. 29):

Пояснения:
Правила, по которым выполнены вычисления, смотри в подсказке.
№109 учебника 2013-2022 (стр. 25):
1) 180 - 160 = 20 (ст.) - на столько увеличилось производство в сутки.

| - | 1 | 0 | 0 | 8 | ||||||
| 8 | 1 | 2 | , | 5 | ||||||
| - | 2 | 0 | ||||||||
| 1 | 6 | |||||||||
| - | 4 | 0 | ||||||||
| 4 | 0 | |||||||||
| 0 |
Ответ: на 12,5% повысился выпуск станков в сутки.
Пояснения:
Процентное отношение показывает, сколько процентов одно число составляет от другого.
Чтобы найти процентное отношение двух чисел, надо их отношение умножить на 100 и к результату дописать знак процента.
Вернуться к содержанию учебника