Вернуться к содержанию учебника
Выберите год учебника
№76 учебника 2023-2026 (стр. 21):
Подберите какое-нибудь число, заключенное между числами:
а) 8,6 и 8,7;
б)
и
;
в) -3,6 и -3,7;
г)
и
.
Результат запишите в виде двойного неравенства.
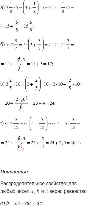
№76 учебника 2013-2022 (стр. 19):
Используя распределительное свойство умножения, выполните действие:

№76 учебника 2023-2026 (стр. 21):
Вспомните:
№76 учебника 2013-2022 (стр. 19):
Вспомните:
№76 учебника 2023-2026 (стр. 21):
а) 8,6 < 8,65 < 8,7;

в) -3,7 < -3,65 < -3,6;

Пояснения:
Чтобы указать число, заключенное между обыкновенными дробями, нужно привести дроби к общему знаменателю, при этом, чем больше будет общий знаменатель, тем большее количество чисел можно будет указать между этими дробями.
№76 учебника 2013-2022 (стр. 19):

Вернуться к содержанию учебника