Вернуться к содержанию учебника
№6.107 учебника 2021-2022 (стр. 116):
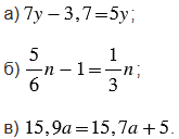
Найдите корень уравнения:

№6.107 учебника 2021-2022 (стр. 116):
Вспомните:
№6.107 учебника 2021-2022 (стр. 116):


Пояснения:
При решении уравнений помним:
1) если перенести слагаемое из одной части уравнения в другую с противоположным знаком, то полученное уравнение имеет те же корни, что и данное;
2) корни уравнения не изменяются, если обе части уравнения умножить или разделить на одно и то же число, не равное нулю.
В уравнениях а) и в) применяем первое свойство, а в уравнении б) сначала применяем второе свойство, а затем первое свойство.
При переносе слагаемых, не забываем поменять у них знак на противоположный, далее в левой части привести подобные слагаемые, а в правой - выполнить вычисления. Слагаемые, имеющие одинаковую буквенную часть, называют подобными слагаемыми. Чтобы сложить подобные слагаемые, надо сложить их коэффициенты (числа, стоящие перед буквенной частью) и полученный результат умножить на общую буквенную часть.
Чтобы найти неизвестный множитель, нужно произведение разделить на известный множитель.
Правила, по которым выполнены вычисления, смотрите в подсказке.
Вернуться к содержанию учебника