Задание 4.46 - ГДЗ Математика 6 класс. Виленкин, Жохов. Учебник часть 2. Страница 17

Старая и новая редакции

Вернуться к содержанию учебника

4.43 4.44 4.45 4.46 4.47 4.48 4.49

Вопрос

№4.46 учебника 2021-2022 (стр. 17):

Вычислите:

Подсказка

№4.46 учебника 2021-2022 (стр. 17):

Вспомните:

  1. Обыкновенные дроби (неправильные дроби).
  2. Вычитание дробей с одинаковыми знаменатель.
  3. Деление обыкновенных дробей.
  4. Умножение обыкновенных дробей (взаимно обратные числа.).
  5. Смешанные числа, действия с ними.
  6. Сокращение дробей.
  7. Сложение и вычитание десятичных дробей.
  8. Умножение десятичных дробей.
  9. Деление десятичных дробей.

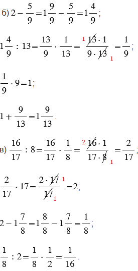
Ответ

№4.46 учебника 2021-2022 (стр. 17):


Вернуться к содержанию учебника