Задание В.13. Вопросы и задачи на повторение. Вопросы - ГДЗ Математика 6 класс. Виленкин, Жохов. Учебник часть 2. Страница 125

Старая и новая редакции

Вернуться к содержанию учебника

Вопросы и задачи на повторение. Вопросы. Страница 125

В.10 В.11 В.12 В.13 В.14 В.15 В.16

Вопрос

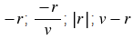
№В.13 учебника 2023-2024 (стр. 125):

Могут ли значения выражений быть:

а) положительными;

б) отрицательными;

в) нулем?

Подсказка

№В.13 учебника 2023-2024 (стр. 125):

Вспомните:

  1. Положительные и отрицательные числа (противоположные числа).
  2. Сравнение рациональных чисел.
  3. Модуль числа.
  4. Деление и дроби.
  5. Деление рациональных чисел.
  6. Сложение рациональных чисел.
  7. Вычитание рациональных чисел.

Ответ

№В.13 учебника 2023-2024 (стр. 125):


Вернуться к содержанию учебника