Вернуться к содержанию учебника
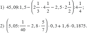
№5.120 учебника 2023-2026 (стр. 94):
Выполните действия:

№5.120 учебника 2023-2026 (стр. 94):
№5.120 учебника 2023-2026 (стр. 94):


Пояснения:
Действиями первой ступени называют сложение и вычитание чисел, а действиями второй ступени - умножение и деление чисел.
При вычислении значений выражений порядок выполнения действий определяют следующие правила:
1. Если выражение содержит только действия одной ступени и в нем нет скобок, то действия выполняют по порядку слева направо.
2. Если в выражении нет скобок, то сначала выполняют действия второй ступени, потом - действия первой ступени.
3. Если в выражении есть скобки, то сначала выполняют действия в скобках (учитывая правила 1 и 2).
Красные числа, стоящие сверху над действиями, показывают в каком порядке нужно выполнять действия.
Правила, по которым выполнены вычисления, смотрите в подсказке.
Вернуться к содержанию учебника