Задание 5.119 - ГДЗ Математика 6 класс. Виленкин, Жохов. Учебник часть 2. Страница 94

Старая и новая редакции

Вернуться к содержанию учебника

5.116 5.117 5.118 5.119 5.120 5.121 5.122

Вопрос

№5.119 учебника 2023-2024 (стр. 94):

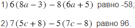
Докажите, что при любом значении буквы значение выражения:

Подсказка

Ответ

№5.119 учебника 2023-2024 (стр. 94):


Вернуться к содержанию учебника