Задание 5.34 - ГДЗ Математика 6 класс. Виленкин, Жохов. Учебник часть 2. Страница 82

Старая и новая редакции

Вернуться к содержанию учебника

5.32 стр. 81 5.33 5.34 5.35 5.36 5.37

Вопрос

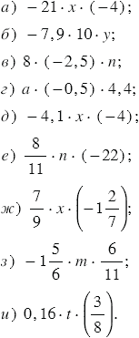
№5.34 учебника 2023-2026 (стр. 82):

Упростите выражения и подчеркните его коэффициент:

Подсказка

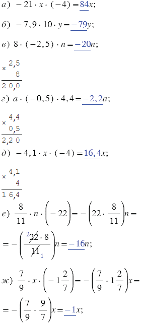
Ответ

№5.34 учебника 2023-2026 (стр. 82):


Вернуться к содержанию учебника