Вернуться к содержанию учебника
№5.37 учебника 2023-2026 (стр. 82):
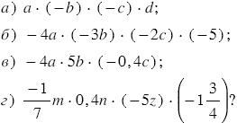
Какой знак у коэффициента выражения:

№5.37 учебника 2023-2026 (стр. 82):
Вспомните:
№5.37 учебника 2023-2026 (стр. 82):

Пояснения:
Числовой множитель в выражении, которое является произведением числа и одной или нескольких букв, называют числовым коэффициентом (или просто коэффициентом).
При решении помним, что произведение нескольких чисел будет отрицательным, если оно содержит нечетное количество отрицательных множителей и будет положительным, если оно содержит четное количество отрицательных множителей.
Вернуться к содержанию учебника