Задание 5.36 - ГДЗ Математика 6 класс. Виленкин, Жохов. Учебник часть 2. Страница 82

Старая и новая редакции

Вернуться к содержанию учебника

5.33 5.34 5.35 5.36 5.37 5.38 5.39

Вопрос

№5.36 учебника 2023-2026 (стр. 82):

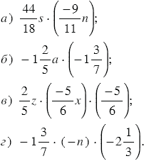
Найдите коэффициент выражения:

Подсказка

Ответ

№5.36 учебника 2023-2026 (стр. 82):


Вернуться к содержанию учебника