Вернуться к содержанию учебника
№4.298 учебника 2023-2024 (стр. 55):
Выполните действия:

№4.298 учебника 2023-2024 (стр. 55):
Вспомните:
№4.298 учебника 2023-2024 (стр. 55):


Пояснения:
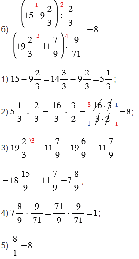
Действия выполняем в следующем порядке:
1) все действия в числителе дробного выражения;
2) все действия в знаменателе дробного выражения;
3) результат, полученный в числителе, делим на результат, полученный в знаменателе (т.к. черта дроби обозначает действие деление).
Правила, по которым выполнены вычисления, смотрите в подсказке.
Обратите внимание, красные числа, стоящие сверху над действиями, указывают порядок действий, только в пункте а) не указано шестое действие - это черта дроби (действие деления числителя на знаменатель), в пункте б) не указано пятое действие - это черта дроби.
Вернуться к содержанию учебника