Вернуться к содержанию учебника
№4.257 учебника 2023-2026 (стр. 49):
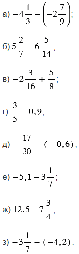
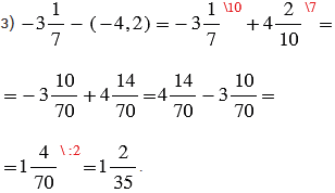
Вычислите:

№4.257 учебника 2023-2026 (стр. 49):
Вспомните:
№4.257 учебника 2023-2026 (стр. 49):



Пояснения:
Числовое выражение, содержащее только знаки сложения и вычитания, можно представить как сумму. Такое выражение называют алгебраической суммой. Если в выражении есть действия в скобках, то сначала выполняют действия в скобках, если скобок нет, то сначала складывают отдельно все положительные и все отрицательные числа, применяя свойства сложения.
Чтобы из данного числа вычесть другое, надо к уменьшаемому прибавить число, противоположное вычитаемому. Противоположные числа отличаются только знаками.
Чтобы сложить два числа с разными знаками, надо: найти модули слагаемых (модуль числа принимает только неотрицательные значения); из большего модуля вычесть меньший модуль; перед полученным числом поставить знак слагаемого с большим модулем (обычно сначала определяют и записывают знак суммы, а потом в скобках находят разность модулей, если сумма в итоге получается положительной, то скобки можно не ставить).
Чтобы сложить два отрицательных числа, надо: найти модули слагаемых (модуль числа принимает только неотрицательные значения); сложить модули слагаемых; перед полученным числом поставить знак " - " (обычно знак минус выносят за скобки и в скобках находят сумму модулей).
Вернуться к содержанию учебника