Вернуться к содержанию учебника
№4.191 учебника 2023-2026 (стр. 40):
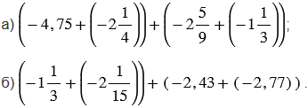
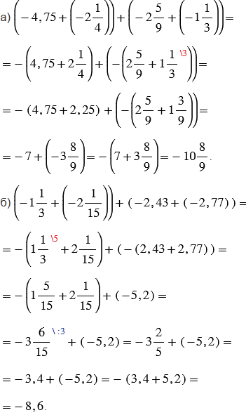
Выполните действия:

№4.191 учебника 2023-2026 (стр. 40):
Вспомните:
№4.191 учебника 2023-2026 (стр. 40):

| + | 2 | , | 4 | 3 |
| 2 | , | 7 | 7 | |
| 5 | , | 2 | 0 |
Пояснения:
Чтобы сложить два отрицательных числа, надо:
1) сложить их модули; 2) поставить перед полученным числом знак " - ".
Модуль числа принимает только неотрицательные значения, поэтому модуль отрицательного числа равен противоположному числу (противоположные числа отличаются только знаками).
Правила, по которым выполнены вычисления с дробями, смотрите в подсказке.
Вернуться к содержанию учебника