Задание 4.85 - ГДЗ Математика 6 класс. Виленкин, Жохов. Учебник часть 2. Страница 22

Старая и новая редакции

Вернуться к содержанию учебника

4.82 4.83 4.84 4.85 4.86 4.87 4.88

Вопрос

№4.85 учебника 2023-2026 (стр. 22):

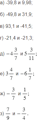
Сравните модули чисел:

Подсказка

Ответ

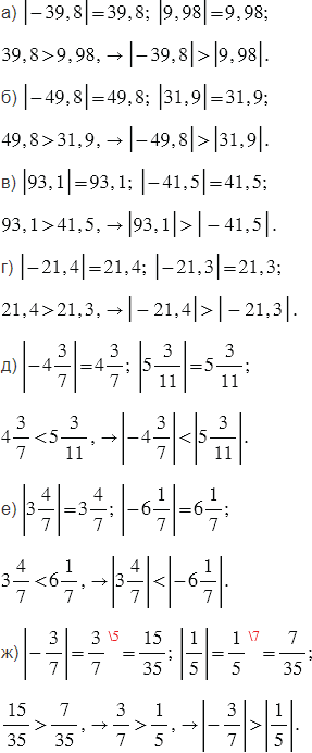
№4.85 учебника 2023-2026 (стр. 22):


Вернуться к содержанию учебника