Задание 4.88 - ГДЗ Математика 6 класс. Виленкин, Жохов. Учебник часть 2. Страница 23

Старая и новая редакции

Вернуться к содержанию учебника

4.85 4.86 4.87 4.88 4.89 4.90 4.91

Вопрос

№4.88 учебника 2023-2026 (стр. 23):

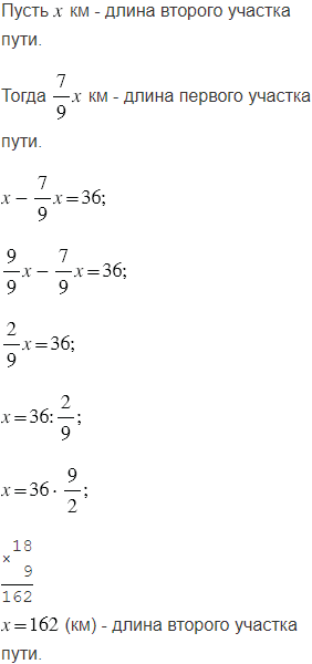
Длина первого участка пути составляет длины второго участка. Чему равна длина всего пути, если второй участок длиннее первого на 36 км?

Подсказка

Ответ

№4.88 учебника 2023-2026 (стр. 23):


Вернуться к содержанию учебника