Задание 4.86 - ГДЗ Математика 6 класс. Виленкин, Жохов. Учебник часть 2. Страница 23

Старая и новая редакции

Вернуться к содержанию учебника

4.83 4.84 4.85 4.86 4.87 4.88 4.89

Вопрос

№4.86 учебника 2023-2026 (стр. 23):

Грузоподъёмность первого самосвала составляет грузоподъёмности второго самосвала. Чему равна грузоподъёмность второго самосвала, если грузоподъёмность первого равна 12 т?

Подсказка

Ответ

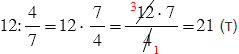
№4.86 учебника 2023-2026 (стр. 23):

Ответ: грузоподъемность второго самосвала равна 21 т.


Пояснения:

Чтобы найти число по данному значению его дроби, надо это значение разделить на дробь.


Вернуться к содержанию учебника