Задание 4.83 - ГДЗ Математика 6 класс. Виленкин, Жохов. Учебник часть 2. Страница 22

Старая и новая редакции

Вернуться к содержанию учебника

4.80 4.81 4.82 4.83 4.84 4.85 4.86

Вопрос

№4.83 учебника 2023-2026 (стр. 22):

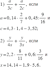
Вычислите значение выражения:

Подсказка

Ответ

№4.83 учебника 2023-2026 (стр. 22):


Вернуться к содержанию учебника