Вернуться к содержанию учебника
Выберите год учебника
№2.461 учебника 2023-2026 (стр. 105):
Найдите частное:

№2.461 учебника 2021-2022 (стр. 101):
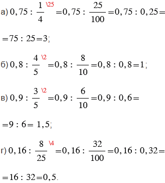
Представьте делитель в виде десятичной дроби и найдите частное:

№2.461 учебника 2023-2026 (стр. 105):
Вспомните:
№2.461 учебника 2021-2022 (стр. 101):
Вспомните:
№2.461 учебника 2023-2026 (стр. 105):


Пояснения:
Чтобы выполнить деление, смешанные числа преобразовываем в неправильные дроби. Чтобы преобразовать смешанное число в неправильную дробь, надо целую часть числа умножить на знаменатель дробной части и к полученному произведению прибавить числитель дробной части; эту сумму записать как числитель неправильной дроби, а в ее знаменатель записать знаменатель дробной части смешанного числа.
Чтобы найти частное двух дробей, надо делимое умножить на число, обратное делителю.
При этом помним:
является число
.
- натуральное число, то обратным ему является число
.Произведением двух дробей является дробь, числитель которой равен произведению числителей, а знаменатель - произведению знаменателей.
При выполнении умножения дробей, чтобы вычисления были проще, не надо перемножать сразу, лучше сделать это после сокращения. Сократить дробь - значит, разделить ее числитель и знаменатель на одно и то же число (наибольший общий делитель).
Если при вычислениях получилась неправильная дробь (числитель больше знаменателя), преобразуем ее в смешанное число. Чтобы неправильную дробь, числитель которой нацело не делится на знаменатель, преобразовать в смешанное число, надо числитель разделить на знаменатель; полученное неполное частное записать как целую часть смешанного числа, а остаток - как числитель его дробной части.
№2.461 учебника 2021-2022 (стр. 101):

Пояснения:
Чтобы преобразовать обыкновенную дробь в десятичную, используем основное свойство дроби, а именно, умножаем обыкновенную дробь на такой дополнительный множитель, чтобы в знаменателе получилась единица с нулями (10, 100, 1000 и т.д.). Затем полученную обыкновенную дробь записываем в виде десятичной дроби, учитывая то, что количество знаков после запятой у десятичной дроби совпадает с количеством нулей в знаменателе обыкновенной дроби.
Чтобы разделить десятичную дробь на натуральное число, нужно разделить дробь на это число, не обращая внимания на запятую и поставить в частном запятую, когда кончится деление целой части.
Вернуться к содержанию учебника