Вернуться к содержанию учебника
Выберите год учебника
№2.179 учебника 2023-2024 (стр. 67):
Одна сторона прямоугольника равна
м, а другая на
м больше. Найдите периметр прямоугольника.
№2.179 учебника 2021-2022 (стр. 61):
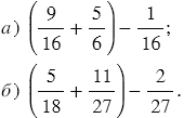
С помощью свойства вычитания числа из суммы вычислите значение выражения:

№2.179 учебника 2023-2024 (стр. 67):
Вспомните:
№2.179 учебника 2021-2022 (стр. 61):
Вспомните:
№2.179 учебника 2023-2024 (стр. 67):

Прямоугольник - это четырехугольник, у которого все углы прямые. В прямоугольнике противоположные стороны равны. Периметр - это сумма длин всех сторон прямоугольника.
Чтобы сравнить (сложить, вычесть) дроби с разными знаменателями, надо:
1) привести дроби к наименьшему общему знаменателю;
2) сравнить (сложить, вычесть) полученные дроби.
Наименьший общий знаменатель равен наименьшему общему кратному знаменателей данных дробей.
Наименьшим общим кратным (НОК) нескольких натуральных чисел называют наименьшее натуральное число, которое делится на каждое из этих чисел.
№2.179 учебника 2021-2022 (стр. 61):




Вернуться к содержанию учебника