Задание 2.178 - ГДЗ Математика 6 класс. Виленкин, Жохов. Учебник часть 1

Старая и новая редакции

Вернуться к содержанию учебника

2.175 2.176 2.177 2.178 2.179 2.180 2.181

Вопрос

Выберите год учебника

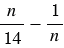
№2.178 учебника 2023-2026 (стр. 67):

Вычислите значение выражения при = 6; = 7.


№2.178 учебника 2021-2022 (стр. 61):

Найдите сумму:

Подсказка

№2.178 учебника 2023-2026 (стр. 67):

Вспомните:

  1. Обыкновенные дроби.
  2. Сложение дробей с разными знаменателями.
  3. Сложение дробей с одинаковыми знаменателями.
  4. Основное свойство дроби.
  5. Приведение дробей к общему знаменателю.
  6. Буквенные выражения.

№2.178 учебника 2021-2022 (стр. 61):

Вспомните:

  1. Обыкновенные дроби.
  2. Сложение и вычитание дробей с разными знаменателями.
  3. Сложение и вычитание дробей с одинаковыми знаменателями.
  4. Приведение дробей к общему знаменателю.
  5. Основное свойство дроби.
  6. Сочетательное и переместительное свойства сложения.

Ответ

№2.178 учебника 2023-2026 (стр. 67):


Пояснения:

Чтобы найти значение буквенного выражения при данном значении переменной, надо в данное выражение вместо переменной подставить это значение в выражение и выполнить вычисления.

Чтобы сравнить (сложить, вычесть) дроби с разными знаменателями, надо:

1) привести дроби к наименьшему общему знаменателю;

2) сравнить (сложить, вычесть) полученные дроби.

Наименьший общий знаменатель равен наименьшему общему кратному знаменателей данных дробей.

Наименьшим общим кратным (НОК) нескольких натуральных чисел называют наименьшее натуральное число, которое делится на каждое из этих чисел.


№2.178 учебника 2021-2022 (стр. 61):

Для выполнения данного задания, сгруппируем слагаемые, используя законы сложения:

Сочетательное свойство:

Чтобы прибавить к числу сумму двух чисел, можно сначала прибавить первое слагаемое, а потом к полученной сумме прибавить второе слагаемое.

Переместительное свойство:

От перестановки слагаемых сумма не меняется.

Чтобы сравнить (сложить, вычесть) дроби с разными знаменателями, надо:

1) привести дроби к наименьшему общему знаменателю;

2) сравнить (сложить, вычесть) полученные дроби.

Наименьший общий знаменатель равен наименьшему общему кратному знаменателей данных дробей.

Наименьшим общим кратным (НОК) нескольких натуральных чисел называют наименьшее натуральное число, которое делится на каждое из этих чисел.


Вернуться к содержанию учебника