Номер 890 - ГДЗ Алгебра 8 класс. Мерзляк, Полонский. Учебник. Страница 222

Вернуться к содержанию учебника

Упражнения для повторения курса алгебры 8 класса. Страница 222

887 888 889 890 891 892 893

Вопрос

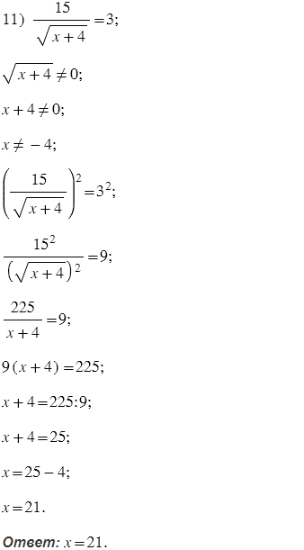
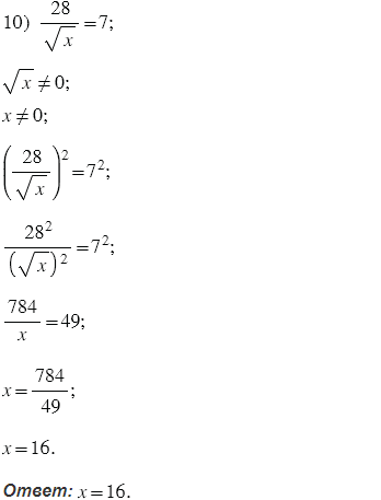
Решите уравнение:

Подсказка

Ответ


Вернуться к содержанию учебника