Номер 862 - ГДЗ Алгебра 8 класс. Мерзляк, Полонский. Учебник. Страница 218

Вернуться к содержанию учебника

Упражнения для повторения курса алгебры 8 класса. Страница 218

859 860 861 862 863 864 865

Вопрос

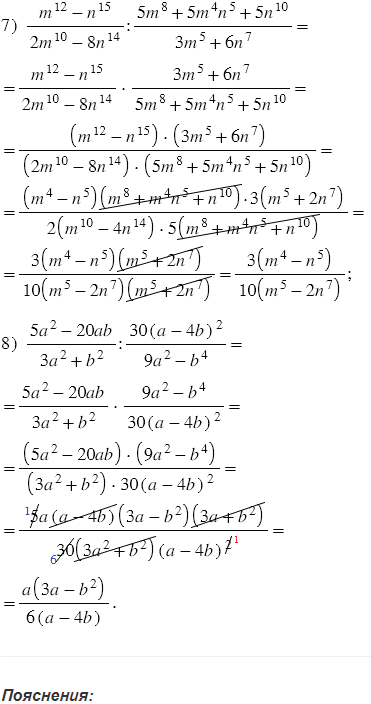
Выполните деление:

Подсказка

Ответ


Вернуться к содержанию учебника