Вернуться к содержанию учебника
Выберите год учебника
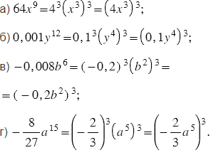
№491 учебника 2023-2026 (стр. 113):
Представьте выражение в виде куба одночлена:

№491 учебника 2013-2022 (стр. 117):
В одной и той же системе координат постройте графики функций
и
, где
⩾0. Пользуясь построенными графиками, сравните:
а) 0,62 и 0,63;
б) 1,52 и 1,53;
в) 2,72 и 2,73.
№491 учебника 2023-2026 (стр. 113):
№491 учебника 2013-2022 (стр. 117):
№491 учебника 2023-2026 (стр. 113):

Пояснения:
Одночлены - это выражения, представляющие собой произведение чисел, переменных и их степеней. Одночленами также считают числа, переменные и их степени.
№491 учебника 2013-2022 (стр. 117):



а) 0,62 > 0,63;
б) 1,52 < 1,53;
в) 2,72 < 2,73.




Вернуться к содержанию учебника