Вернуться к содержанию учебника
№5.38 учебника 2021-2022 (стр. 82):
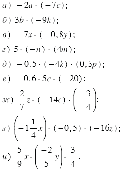
Упростите произведение и подчеркните его коэффициент:

№5.38 учебника 2021-2022 (стр. 82):
Вспомните:
№5.38 учебника 2021-2022 (стр. 82):

Пояснения:
Числовой множитель в выражении, которое является произведением числа и одной или нескольких букв, называют числовым коэффициентом (или просто коэффициентом).
Если в произведении дано несколько чисел, то используя переместительное и сочетательное свойства умножения, эти числа нужно перемножить и число, которое получится при умножении, и является коэффициентом.
Правила, по которым выполнено умножение, смотрите в подсказке.
Вернуться к содержанию учебника