Вернуться к содержанию учебника
№5.43 учебника 2021-2022 (стр. 83):
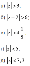
Найдите целые решения неравенства:

Выпишите из них наименьшее целое положительное и наибольшее целое отрицательное решения неравенства.
№5.43 учебника 2021-2022 (стр. 83):
Вспомните:
Вернуться к содержанию учебника