Вернуться к содержанию учебника
№4.329 учебника 2021-2022 (стр. 60):
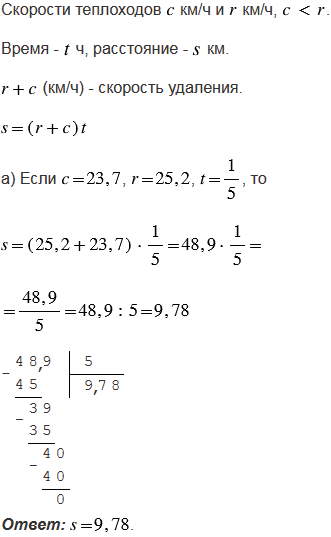
Составьте формулу для решения предыдущей задачи, если от пристани теплоходы отправились в противоположных направлениях. Найдите по полученной формуле:

№4.329 учебника 2021-2022 (стр. 60):
Вспомните:
Вернуться к содержанию учебника