Вернуться к содержанию учебника
№4.309 учебника 2021-2022 (стр. 58):
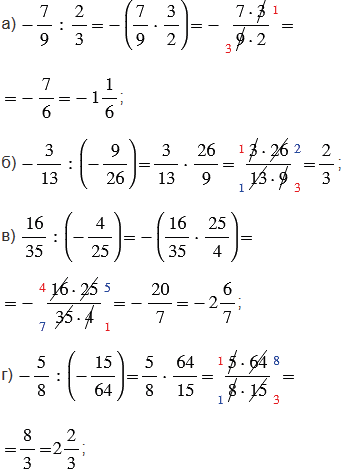
Найдите частное:

№4.309 учебника 2021-2022 (стр. 58):
Вспомните:
№4.309 учебника 2021-2022 (стр. 58):


Пояснения:
Чтобы найти частное двух чисел с разными знаками, надо разделить модуль делимого на модуль делителя и поставить перед полученным числом знак "-".
Чтобы найти частное двух отрицательных чисел, надо разделить модуль делимого на модуль делителя.
Вернуться к содержанию учебника