Вернуться к содержанию учебника
№4.82 учебника 2021-2022 (стр. 22):
Коля собрал 2,4 кг крыжовника. Сколько килограммов крыжовника собрал Петя , если известно, что Коля собрал:
а) на 0,4 кг меньше Пети;
б) на 0,2 кг больше Пети;
в) в 3 раза больше Пети;
г) в 1,5 раза меньше Пети;
д)
того, что собрал Петя;
е)
того, что собрал Петя;
ж) 0,3 того, что собрал Петя;
з) 15% того, что собрал Петя;
и) 120% того, что собрал Петя;
к) на 15% больше Пети?
№4.82 учебника 2021-2022 (стр. 22):
№4.82 учебника 2021-2022 (стр. 22):

2,4 + 0,4 = 2,8 (кг)
Ответ: Петя собрал 2,8 кг крыжовника.

2,4 - 0,2 = 2,2 (кг)
Ответ: Петя собрал 2,2 кг крыжовника.

2,4 : 3 = 0,8 (кг)
Ответ: Петя собрал 0,8 кг крыжовника.

2,4 • 1,5 = 3,6 (кг)
| × | 2 | 4 | |
| 1 | 5 | ||
| + | 1 | 2 | 0 |
| 2 | 4 | ||
| 3 | 6 | 0 |
Ответ: Петя собрал 3,6 кг крыжовника.


Ответ: Петя собрал 3,2 кг крыжовника.


| × | 2 | 4 | |
| 1 | 2 | ||
| + | 4 | 8 | |
| 2 | 4 | ||
| 2 | 8 | 8 |
Ответ: Петя собрал 2,88 кг крыжовника.

2,4 : 0,3 = 24 : 3 = 8 (кг)
Ответ: Петя собрал 8 кг крыжовника.

15% = 15 : 100 = 0,15.
2,4 : 0,15 = 16 (кг)
| - | 2 | 4 | 0 | 1 | 5 | |||
| 1 | 5 | 1 | 6 | |||||
| - | 9 | 0 | ||||||
| 9 | 0 | |||||||
| 0 |
Ответ: Петя собрал 16 кг крыжовника.

120% = 120 : 100 = 1,2.
2,4 : 1,2 = 24 : 12 = 2 (кг)
Ответ: Петя собрал 2 кг крыжовника.

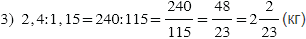
1) 100% + 15% = 115% - составляет масса ягод, которые собрал Коля, от массы ягод, собранных Петей.
2) 115% = 115 : 100 = 1,15 (кг)

Ответ: Петя собрал
кг крыжовника.
Пояснения:
Чтобы найти число по данному значению его дроби, надо это значение разделить на дробь.
Чтобы найти несколько процентов от числа, нужно это число разделить на 100, а затем, полученный результат, умножить на число, стоящее перед знаком %.
Правила, по которым выполнены вычисления, смотрите в подсказке.
Вернуться к содержанию учебника